Polígonos: conceitos, tipos, propriedades e cálculos
Aprenda tudo sobre polígonos, incluindo classificação, elementos como lados, vértices e ângulos e como calcular área e perímetro.
Matemática

Os polígonos são figuras geométricas planas formadas por segmentos de reta que se encontram em pontos chamados vértices. Eles são essenciais na geometria plana e aparecem em diversas áreas, da matemática à engenharia e arquitetura.
O estudo de polígonos envolve:
- Classificação dos polígonos
- Reconhecimento de lados, vértices e ângulos
- Identificação de polígonos regulares e irregulares
- Cálculo de perímetro e área
Entre os polígonos mais comuns estão triângulos, quadriláteros, pentágonos, hexágonos, entre outros.
Como classificar um polígono?
A classificação dos polígonos é feita segundo dois critérios principais:
- Número de lados:
- Triângulo: 3 lados
- Quadrilátero: 4 lados
- Pentágono: 5 lados
- Hexágono: 6 lados
- Heptágono: 7 lados
- Octógono: 8 lados
- Eneágono: 9 lados
- Decágono: 10 lados
- Regularidade:
- Polígonos regulares: todos os lados e ângulos iguais
- Polígonos irregulares: lados e ângulos diferentes
Quais são os tipos de polígonos?
Triângulos
- Equilátero: 3 lados iguais
- Isósceles: 2 lados iguais
- Escaleno: todos os lados diferentes
Quadriláteros
- Quadrado: 4 lados iguais, ângulos retos
- Retângulo: lados opostos iguais, ângulos retos
- Losango: 4 lados iguais, ângulos opostos iguais
- Trapézio: apenas um par de lados paralelos
Polígonos com 5 ou mais lados
- Pentágono: 5 lados
- Hexágono: 6 lados
- Heptágono: 7 lados
- Octógono: 8 lados
- Todos podem ser regulares ou irregulares
Quais são os elementos de um polígono?
Todo polígono possui:
- Lados: segmentos de reta que formam a figura
- Vértices: pontos de encontro dos lados
- Ângulos internos: formados entre dois lados adjacentes
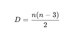
- Diagonais: segmentos que ligam vértices não consecutivos
Fórmulas importantes:
- Número de diagonais:
- Soma dos ângulos internos:
Propriedades dos polígonos
- Polígonos convexos: todos os ângulos internos menores que 180°
- Polígonos côncavos: pelo menos um ângulo interno maior que 180°
- Polígonos regulares: lados e ângulos iguais; podem ser inscritos em uma circunferência
- Perímetro: soma de todos os lados do polígono
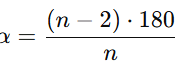
O que é um polígono regular?
Um polígono regular possui:
- Todos os lados iguais
- Todos os ângulos iguais
- Simetria perfeita
Exemplos: quadrado, hexágono regular, pentágono regular
Fórmula do ângulo interno de um polígono regular:
α=(n−2)⋅180n\alpha = \frac{(n-2) \cdot 180}{n}α=n(n−2)⋅180
Como calcular a área de um polígono?
O cálculo da área de um polígono depende do tipo da figura e das suas dimensões.
- Triângulo: Para calcular a área de um triângulo, multiplica-se a medida da base pela altura e divide-se o resultado por dois. A base é qualquer um dos lados escolhidos como referência, e a altura é a distância perpendicular da base até o vértice oposto.
- Quadrado: No quadrado, basta multiplicar o comprimento de um dos lados por ele mesmo, já que todos os lados têm a mesma medida.
- Retângulo: A área de um retângulo é obtida multiplicando-se a medida da base pela altura. A base e a altura são os lados que se encontram formando ângulo reto.
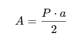
- Polígono regular (com n lados): Para um polígono regular, que possui todos os lados e ângulos iguais, a área pode ser encontrada multiplicando-se o perímetro total pelo apótema, que é a distância do centro até o meio de um lado, e dividindo o resultado pela metade.
Tabela resumida dos polígonos até decágono
Fórmulas resumidas para polígonos
- Perímetro:
- Número de diagonais:
- Soma dos ângulos internos:
- Ângulo interno de polígono regular:
- Área do polígono regular:
Exercícios de fixação
Calcule a soma dos ângulos internos de um octógono.
Resposta:
Comentário:
Para calcular a soma dos ângulos internos de qualquer polígono, usamos a regra que considera que um polígono de n lados pode ser dividido em triângulos, cada um com soma de ângulos igual a 180°. A fórmula S = (n-2) × 180° reflete essa ideia: subtraímos 2 do número de lados porque um triângulo é a menor figura possível para formar polígonos.
No caso do octógono, que tem 8 lados, a subtração de 2 nos dá 6 triângulos imaginários dentro do polígono. Multiplicando 6 por 180°, obtemos 1080°, que é a soma de todos os ângulos internos.
Isso significa que, se quisermos saber o valor de cada ângulo em um octógono regular (onde todos os ângulos são iguais), basta dividir 1080° por 8, resultando em 135° por ângulo.
Estude para o ENEM com a UniFECAF
Quer um plano completo para estudar para o ENEM?
Clique no botão para baixar gratuitamente o Cronograma do ENEM em PDF.











